|
标准电机 |
QF1200MU |
QF1200MU-HT |
QF1200MU OEM |
QF1200MU-QCON |
|
|---|---|---|---|---|---|
|
最大流速 |
偏心 轴 3° |
750 升/小时 (12.5 升/分钟) |
- |
- |
– |
|
偏心 轴 5° |
1200 升/小时 (20 升/分钟) |
1200 升/小时 (20 升/分钟) |
1200 升/小时 (20 升/分钟) |
1200 升/小时(20 升/分钟) |
|
|
最小流速 * |
偏心 轴 3° |
10 升/小时 (0.167 升/分钟) |
- |
- |
– |
|
偏心 轴 5° |
20 升/小时 (0.333 升/分钟) |
6 lph (0.1 lpm) |
6 lph (0.1 lpm) |
6 lph (0.1 lpm) |
|
|
压力 |
流体温度 < 40°C (104°F) |
6 bar (87 psi) |
6 bar (87 psi) |
6 bar (87 psi) |
6 bar / 87 psi |
|
流体温度 < 40°C (104°F) |
4 bar (58 psi) |
4 bar (58 psi) |
4 bar (58 psi) |
4 bar (58 psi) |
|
|
最高温度 |
流体 |
80°C (176°F) |
80°C (176°F) |
80°C (176°F) |
80°C (176°F) |
|
CIP |
90°C (194°F) |
90°C (194°F) |
90°C (194°F) |
90°C (194°F) |
|
|
在线灭菌 |
130°C (266°F) |
130°C (266°F) |
130°C (266°F) |
130°C (266°F) |
|
|
高压灭菌 |
130°C (266°F) |
130°C (266°F) |
130°C (266°F) |
130°C (266°F) |
|
|
泵速范围 |
rpm |
30 – 2,400 |
10 - 2,400 |
- |
10 - 2,400 |
|
1800 rpm 干吸高度 |
偏心 轴 3° |
2.5 – 3 米(8.2-9.8 英尺) |
- |
- |
– |
|
偏心 轴 5° |
4 – 4.5 米(13.1-14.7 英尺) |
4 – 4.5 米(13.1-14.7 英尺) |
4 – 4.5 米(13.1-14.7 英尺) |
4 – 4.5 米(13.1-14.7 英尺) |
|
|
容积 规格 |
近似 体积/ |
9.6 毫升(5°) |
9.6 毫升 |
9.6 毫升 |
9.6 毫升 |
|
不带 连接件的填充 容积 |
75 毫升 |
75 毫升 |
75 毫升 |
75 毫升 |
|
|
连接 规范 (标准) |
连接器 |
3/4" TC |
3/4" TC |
3/4" TC |
3/4" TC |
|
连接件 位置 |
内联 |
内联 |
内联 |
内联 |
|
|
流动 方向 数量 |
4. |
4. |
4. |
4. |
|
|
产品 接液 材料(标准) |
泵壳 |
SS316L |
SS316L |
SS316L |
SS316L |
|
阀板 |
SS316L |
SS316L |
SS316L |
SS316L |
|
|
隔膜 |
热塑性弹性体 (TPE) |
热塑性弹性体 (TPE) |
热塑性弹性体 (TPE) |
热塑性弹性体 (TPE) |
|
|
阀: |
EPDM |
EPDM |
EPDM |
EPDM |
|
|
O 型圈: |
EPDM |
EPDM |
EPDM |
EPDM |
|
|
证书/证明(可选) |
弹性体( 润湿的产品) |
USP <88> Cl. VI;FDA21CFR177; |
USP <88> Cl. VI;FDA21CFR177; |
USP <88> Cl. VI;FDA21CFR177; |
USP <88> Cl. VI. |
|
不锈钢部件(接液产品) |
3.1;表面 粗糙度;铁氧体含量 |
3.1;表面 粗糙度;铁氧体含量 |
3.1;表面 粗糙度;铁氧体含量 |
3.1;表面粗糙度; |
|
|
电机(标准) |
额定 速度 |
1375 分钟–1 (50 Hz) |
2400 分钟–1 |
2400 分钟–1 |
2400 分钟–1 |
|
电压 |
230/400 V |
110 – 230 伏 |
3 x 230V / 3 x 400V |
110 – 230 伏 |
|
|
长度 |
0.37 kW |
0.485 kW |
- |
0.485 kW |
|
|
带电机和外壳的泵尺寸 |
长度 |
487 毫米(19.17 英寸) |
489 毫米(19.25 英寸) |
489 毫米(19.25 英寸) |
586 毫米(23.07 英寸) |
|
宽度 |
159 mm (6.26") |
200 mm (7.87") |
159 mm (6.26") |
200 mm (7.87") |
|
|
高度 |
210 mm (8.27") |
220 mm (8.66") |
163 mm (6.42") |
264mm (10,39") |
|
|
带电机和外壳的泵重量 |
|
24 公斤(53 磅) |
25 公斤(55 磅) |
17.7 千克(39 磅) |
29.2 公斤(64.18 磅) |
可应要求提供其他连接规格、 材料和电机。
* 使用带控制箱的泵时:20 lph (0.333 lpm) 和 40 lph (0.667 lpm)
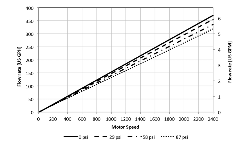
QF1200MU 偏心轴 5° — 升
QF1200MU-HT 偏心 轴 5° — 升
QF1200MU 偏心轴 5° — 加仑
QF1200MU-HT 偏心轴 5° — 加仑
未找到您搜索的内容!请随时联系我们。期待收到您的来信!
|
标准电机 |
QF1200MU |
QF1200MU-HT |
QF1200MU OEM |
QF1200MU-QCON |
|
|---|---|---|---|---|---|
|
最大流速 |
偏心 轴 3° |
750 升/小时 (12.5 升/分钟) |
- |
- |
– |
|
偏心 轴 5° |
1200 升/小时 (20 升/分钟) |
1200 升/小时 (20 升/分钟) |
1200 升/小时 (20 升/分钟) |
1200 升/小时(20 升/分钟) |
|
|
最小流速 * |
偏心 轴 3° |
10 升/小时 (0.167 升/分钟) |
- |
- |
– |
|
偏心 轴 5° |
20 升/小时 (0.333 升/分钟) |
6 lph (0.1 lpm) |
6 lph (0.1 lpm) |
6 lph (0.1 lpm) |
|
|
压力 |
流体温度 < 40°C (104°F) |
6 bar (87 psi) |
6 bar (87 psi) |
6 bar (87 psi) |
6 bar / 87 psi |
|
流体温度 < 40°C (104°F) |
4 bar (58 psi) |
4 bar (58 psi) |
4 bar (58 psi) |
4 bar (58 psi) |
|
|
最高温度 |
流体 |
80°C (176°F) |
80°C (176°F) |
80°C (176°F) |
80°C (176°F) |
|
CIP |
90°C (194°F) |
90°C (194°F) |
90°C (194°F) |
90°C (194°F) |
|
|
在线灭菌 |
130°C (266°F) |
130°C (266°F) |
130°C (266°F) |
130°C (266°F) |
|
|
高压灭菌 |
130°C (266°F) |
130°C (266°F) |
130°C (266°F) |
130°C (266°F) |
|
|
泵速范围 |
rpm |
30 – 2,400 |
10 - 2,400 |
- |
10 - 2,400 |
|
1800 rpm 干吸高度 |
偏心 轴 3° |
2.5 – 3 米(8.2-9.8 英尺) |
- |
- |
– |
|
偏心 轴 5° |
4 – 4.5 米(13.1-14.7 英尺) |
4 – 4.5 米(13.1-14.7 英尺) |
4 – 4.5 米(13.1-14.7 英尺) |
4 – 4.5 米(13.1-14.7 英尺) |
|
|
容积 规格 |
近似 体积/ |
9.6 毫升(5°) |
9.6 毫升 |
9.6 毫升 |
9.6 毫升 |
|
不带 连接件的填充 容积 |
75 毫升 |
75 毫升 |
75 毫升 |
75 毫升 |
|
|
连接 规范 (标准) |
连接器 |
3/4" TC |
3/4" TC |
3/4" TC |
3/4" TC |
|
连接件 位置 |
内联 |
内联 |
内联 |
内联 |
|
|
流动 方向 数量 |
4. |
4. |
4. |
4. |
|
|
产品 接液 材料(标准) |
泵壳 |
SS316L |
SS316L |
SS316L |
SS316L |
|
阀板 |
SS316L |
SS316L |
SS316L |
SS316L |
|
|
隔膜 |
热塑性弹性体 (TPE) |
热塑性弹性体 (TPE) |
热塑性弹性体 (TPE) |
热塑性弹性体 (TPE) |
|
|
阀: |
EPDM |
EPDM |
EPDM |
EPDM |
|
|
O 型圈: |
EPDM |
EPDM |
EPDM |
EPDM |
|
|
证书/证明(可选) |
弹性体( 润湿的产品) |
USP <88> Cl. VI;FDA21CFR177; |
USP <88> Cl. VI;FDA21CFR177; |
USP <88> Cl. VI;FDA21CFR177; |
USP <88> Cl. VI. |
|
不锈钢部件(接液产品) |
3.1;表面 粗糙度;铁氧体含量 |
3.1;表面 粗糙度;铁氧体含量 |
3.1;表面 粗糙度;铁氧体含量 |
3.1;表面粗糙度; |
|
|
电机(标准) |
额定 速度 |
1375 分钟–1 (50 Hz) |
2400 分钟–1 |
2400 分钟–1 |
2400 分钟–1 |
|
电压 |
230/400 V |
110 – 230 伏 |
3 x 230V / 3 x 400V |
110 – 230 伏 |
|
|
长度 |
0.37 kW |
0.485 kW |
- |
0.485 kW |
|
|
带电机和外壳的泵尺寸 |
长度 |
487 毫米(19.17 英寸) |
489 毫米(19.25 英寸) |
489 毫米(19.25 英寸) |
586 毫米(23.07 英寸) |
|
宽度 |
159 mm (6.26") |
200 mm (7.87") |
159 mm (6.26") |
200 mm (7.87") |
|
|
高度 |
210 mm (8.27") |
220 mm (8.66") |
163 mm (6.42") |
264mm (10,39") |
|
|
带电机和外壳的泵重量 |
|
24 公斤(53 磅) |
25 公斤(55 磅) |
17.7 千克(39 磅) |
29.2 公斤(64.18 磅) |
可应要求提供其他连接规格、 材料和电机。
* 使用带控制箱的泵时:20 lph (0.333 lpm) 和 40 lph (0.667 lpm)
QF1200MU 偏心轴 5° — 升
QF1200MU-HT 偏心 轴 5° — 升
QF1200MU 偏心轴 5° — 加仑
QF1200MU-HT 偏心轴 5° — 加仑
未找到您搜索的内容!请随时联系我们。期待收到您的来信!